91老师国产黑色丝袜在线_AV色色色_五月黄色片_极品無毛美鮑一线天_亚洲 涩色_4438x20_hhhh黄色_北条麻妃日本A片_老Aav资源站点_日韩一道本

臭氧實驗裝置一站式服務平臺
當前位置: 主頁 > 新聞動態 > 臭氧知識 > 烯烴的臭氧化、炔烴的氧化

烯烴的臭氧化、炔烴的氧化

來源:www.bjjkxt.com 發布時間:2024-04-19 16:42:12 瀏覽次數:

烯烴的臭氧化、炔烴的氧化 
臭氧廣泛的用途是進行碳碳雙鍵的氧化斷裂,根據后處理條件的不同可生成羰基化合物或醇。這些反應一般是在低溫(–25~–78 oC)下,混合于空氣或者氧氣中的臭氧氣流通過底物在惰性溶劑中進行的。常用的溶劑是CH2Cl2和MeOH,或者是二者的混合溶劑。很多烯烴都能進行臭氧化反應,給電子基團取代的雙鍵比吸電子基團取代的雙鍵反應更快。還原的后處理過程生成醛、酮或者醇。用LiAlH4或NaBH4后處理可以全部還原為醇。氧化的后處理過程把過酸的臭氧分解產物轉化為酮或者羧酸[1]。用該方法可以從環烯出發制備許多產物 (式1)[2]。
三甲基硅氧基烯由臭氧氧化斷裂,再經過氧化后處理過程生成二酸,或者經過還原后處理過程生成羥基或含氧衍生物 (式2)[3]。如果后處理條件恰當,這個反應就是Baeyer-Villiger氧化的一個很好的補充。α,β-不飽和酮與臭氧的反應一般得到比原分子少一個碳的酮酸。1,3-二烯的臭氧分解反應中,雙鍵能夠發生選擇性的氧化斷裂,在1,3-環二烯中,一級臭氧化物碎裂的區域選擇性取決于環的大小 (式3)[4]。位阻大的烯用臭氧化處理一般生成環氧化物。
加入 Lewis 酸可以增強臭氧的親電反應性。相反的,在臭氧化反應中加入少量吡啶,可以明顯降低臭氧的反應性而同時提高臭氧進攻的區域選擇性 (式7)[8]。
相對于其它烯烴的氧化斷裂試劑而言,臭氧是比較好的一種。其它試劑如四氧化鋨、高錳酸鉀、高碘酸鈉或羧酸鎘等都價格昂貴、有很高的毒性,并且會造成金屬離子污染,后處理步驟復雜。
 
炔烴的氧化 
炔烴與臭氧的反應比烯烴與臭氧的反應慢[5]。當同時有烯鍵和炔鍵存在時,烯鍵會優先發生反應。炔烴與臭氧反應既可以產生羧酸,又可以產生α-二羰基化合物(還原后處理過程) (式4)[1]。很多還原試劑都可以用來生成α-二羰基化合物。端炔在臭氧作用下能夠得到α-羰基醛。
 
芳香體系的臭氧分解
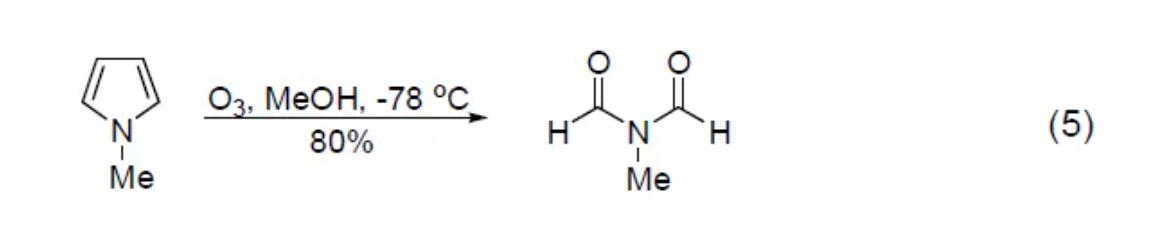
芳香化合物對臭氧的反應性比烯烴和炔烴弱。雜環體系的臭氧分解反應主要包括從喹啉合成吡啶衍生物,臭氧分解咪吡咯得到N-乙酰氨基化合物 (式5)[6],臭氧分解呋喃體系釋放出潛在的羧酸官能團等。
 
雜原子的臭氧化
在臭氧作用下,磷化氫可以轉化為氧化膦,亞磷酸鹽可以轉化為磷酸鹽。有機硫化物在臭氧作用下可以轉化為亞砜或者砜。三級胺臭氧化可以轉化為氧化胺,而一級胺臭氧化則以適中產率生成硝基化合物。硒化物在臭氧作用下轉化為硒氧化物,此反應經常用于制備不飽和羰基化合物 (式6)[7]。
 
其他
醛可以通過在乙酸甲酯或乙酸乙酯中臭氧化轉化為過酸,或者在10% 的KOH甲醇溶液中臭氧化得到甲酯。在催化劑量的Fe3+存在下,在臭氧作用下,NO2可以直接將苯二甲酸酯硝化 (式8)[9]。臭氧還可以氧化氮雜環丙基酯上的N-二苯甲基保護基團,得到脫保護的氧化氮雜環丙基酯和二苯甲酮 (式9)[10]。
 
參考文獻
 
1. (a) Razumovskii, S. D.; Zaikov, G. E. Ozone and Its Reactionswith Organic Compouds, Elsevier: Amsterdam, 1984. (b)Hudlicky, M. Oxidation in Organic Chemistry, AmericanChemical Society: Washington, 1990.
2. Gupta, D.; Soman, R.; Dev, S. K. Tetrahedron, 1982, 38,3013.
3. (a) Clark, R. D.; Heathcock, C. H. Tetrahedron Lett., 1974,2027. (b) Clark, R. D.; Heathcock, C. H. J. Org. Chem., 1976,41, 1396.
4. Wang, Z.; Zvlichovsky, G. Tetrahedron Lett., 1990, 31, 5579.
5. Dieter Cremer, D.; Crehuet, R.; Anglada, J. J. Am. Chem. Soc.,2001, 123, 6127.
6. Kashima, C.; Harada, K.; Hosomi, A. Heterocycles, 1992, 33,385.
7. Grese, T. A.; Hutchinson, K. D.; Overman, L. E. J. Org.Chem., 1993, 58, 2468.
8. Haag, T.; Luu, B.; Hetru, C. J. Chem. Soc., Perkin. Trans. I,1988, 2353.
9. Nose, M.; Suzuki, H.; Suzuki, H. J. Org. Chem., 2001, 66,4356.
10. Patwardhan, A. P.; Lu, Z. J.; Pulgam, V. R.; Wulff. W. D.Org. Lett., 2005, 7, 2201.
本文轉自:《現代有機合成試劑——性質、制備和反應》,胡躍飛等編著

與烯烴的臭氧化、炔烴的氧化相關的實驗文章